用標準緩沖溶液比色法測定生活飲用水及其水源水的ph值,用標準緩沖溶液比色法測定生活飲用水及其水源水的ph值。用本法測定ph可準確到0.1,水樣帶有顏色、渾濁或含有較多的游離余氯、氧化劑、還原劑時均有干擾。

生活飲用水檢測ph值的測定原理
不同的酸堿指示劑在一定的ph范圍內顯示出不同顏色。在一系列已知ph值的標準緩沖溶液及水樣中加入相同的指示劑,顯色后比對測得水樣的ph值。
生活飲用水檢測ph值的測定所需試劑
1)苯二甲酸氫鉀溶液:將苯二甲酸氫鉀(置于105°C烘箱內干燥2 h,放在硅膠干燥器內冷卻30min,稱取20.41g溶于純水中,并定容至1000mL。
2)磷酸二氫鉀溶液:將磷酸二氫鉀置于105°C烘箱內干燥2h,于硅膠干燥器內冷卻30min,稱取13.61g溶于純水中,并定容至1000mL,靜置4d后,傾出上層澄清液,貯存于清潔瓶中。所配成的溶液應對甲基紅指示劑呈顯著紅色,對漠酚藍指示劑呈顯著紫藍色。
3)硼酸-氯化鉀混合溶液:將硼酸(用乳缽研碎,放入硅膠干燥器中,24h后取出,稱取6.20g;另稱取7.456g干燥的氯化鉀,一并溶解于純水中,并定容至1000mL。
注:配制上述緩沖溶液所需的純水均為新煮沸放冷的蒸儒水
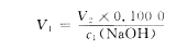
4)氫氧化鈉溶液:稱取30g氫氧化鈉,溶于50mL純水中,傾入150mL錐形瓶內,冷卻后用橡皮塞塞緊,靜置4d以上,使碳酸鈉沉淀。小心吸取上清液約10mL,用純水定容至1000mL。此溶液濃度為c=0.1mol/L,其準確濃度用苯二甲酸氫鉀標定,方法如下:
將苯二甲酸氫鉀置于1O5°C烘箱內烘至恒量,稱取0.5 g,精確到0.1 mg,共稱3份,分別置于250mL錐形瓶中,加入100mL純水,使苯二甲酸氫鉀完全溶解,然后加入4滴酚猷指示劑,用氫氧化鈉溶液滴定至淡紅色30s內不褪為止。滴定時應不斷振搖,但滴定時間不宜太久,以免空氣中二氧化碳進入溶液而引起誤差。標定時需同時滴定一份空白溶液,并從滴定苯二甲酸氫鉀所用的氫氧化鈉溶液毫升數中減去此數值,按以下計算式計算出氫氧化鈉原液的準確濃度。
根據氫氧化鈉原液的濃度,按以下計算式計算配制。0.1000mol/L的氫氧化鈉溶液所需原液體積,并用純水定容至所需體積。
生活飲用水檢測ph值的測分析步驟
1)標準色列的制備
取10.0mL配成的各種標準緩沖溶液,分別置于內徑一致的安甑中,向ph4.8-6.4的標準緩沖溶液中各加0.5mL氯酚紅指示劑;向ph6.0-7.6標準緩沖液中各加0.5mL漠百里酚藍指示劑;向ph7.0-8.4標準緩沖液中各加0.5mL酚紅指示劑;向ph8.0?9.6標準緩沖液中各加0.5mL百里酚藍指示劑。用噴燈迅速封口,然后放入鐵絲筐中,將鐵絲筐放在沸水浴內消毒30min,每隔24h一次,共消毒三次,置于暗處保存。

2)水樣測定
吸取10.0mL澄清水樣,置于與標準系列同型的試管中,加入0.5mL指示劑(指示劑種類與標準色列相同),混勻后放入比色架中的5號孔內。另取2支試管,各加入10mL水樣,插入1號與3號孔內。再取標準管2支,插入4號及6號孔內。在2號孔內放入1支純水管。從比色架前面迎光觀察,記錄與水樣相近似的標準管的ph值。
